2022-08-19

刚刚,全球排名前25位的航空货运公司出炉


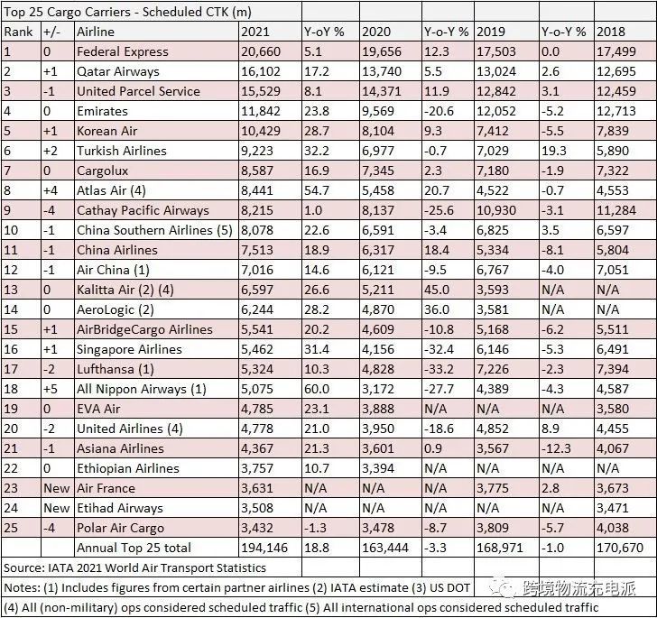
    据充电文化传媒最新消息获悉,IATA 刚刚揭晓了2021年排名前25位的航空货运公司。根据其2021年世界航空运输统计 (WATS) 数据显示,虽然航空业在过去的一年依旧经历着疫情的冲击,但是去年排名前 25 的货运航空公司的货运量仍然增长强劲。

    2021 年,按定期货运吨公里 (CTK) 计算的总体运输量同比增长 18.7%,比 2020 年 10.6% 的下降幅度大幅改善。与 2019 年疫情前的一年相比,需求也增长了 6.9%。

     FEDEX、卡塔尔航空、UPS、阿联酋航空、大韩航空、土耳其航空、卢森堡航空、阿特拉斯航空、国泰航空、中国南航占据前十名位置,其他排名前 25 位的航空公司的表现与整体市场基本持平,主要航空公司的货运量同比增长 18.8%。

    具体排名如下图所示:

     排名第一的联邦快递 (FedEx) 在 2021 年保持其作为顶级货运航空公司的地位,尽管其增长水平低于许多其他表现优异的航空公司。这家美国快递巨头的货运量同比增长 5.1% 至 207 亿 CTK。

     联邦快递受益于对电子商务、Covid 疫苗、个人防护装备和相关用品的强劲需求,以及国际出口和美国国内包裹量的增长。

No comments:

Post a Comment